Beispielergebnisse
In den Abbildungen sind Berechnungsergebnisse für eine Auswahl an Kältemitteln als Balkendiagramme dargestellt. Dabei sind jedem Kältemittel 2 Balken zugeordnet, links und rechts nebeneinander, für 2 Betriebsbedingungen.
In den Balkendiagrammen ist also sichtbar, wie die Kältemittel sich zueinander verhalten und wie jedes Kältemittel sich bei den beiden gewählten Bedingungen verhält. Dadurch zeigt sich, wie ein Kältemittel seine Kälteleistung, Effizienz und Verdichtungsendtemperatur verändert, wenn die Überhitzung steigt oder wenn von einstufig mit hoher Überhitzung und innerem Wärmeübertrager auf zweistufig mit Economiser umgestellt wird.
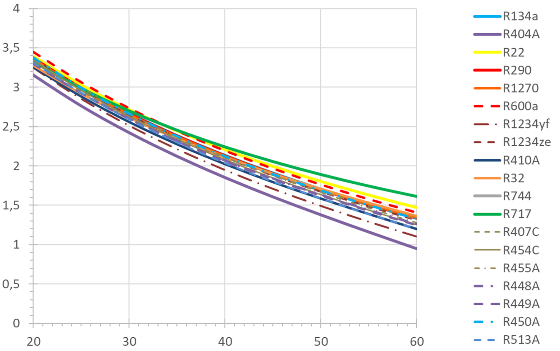
In den späteren Kurvendiagrammen wird dargestellt, wie sich die Effizienz mit der Verdampfungs-, Verflüssigungs- oder Ansaugtemperatur verändert.
Je nach verwendeter Stoffdatenquelle können die Ergebnisse etwas anders aussehen.
Normalkühlung
Die volumetrische Kälteleistung unterscheidet sich bei den Kältemitteln stark, von etwa 0,7·106 J/m3 bei R600a bis etwa 3,5·106 J/m3 bei R410A. Bei einer gegebenen Kälteleistung müsste also bei R600a das 5-fache Volumen gefördert werden wie bei R410A.
Bei R134a, R404A, den Kohlenwasserstoffen und den meisten anderen Kältemitteln steigt die Kälteleistung von der niedrigen zur hohen nutzbaren Überhitzung etwas an. Bei R717 (Ammoniak) und R410A fällt sie etwas, bei R22 bleibt sie gleich.
Ebenso verhält es sich beim COP abhängig von der nutzbaren Überhitzung. Hier liegen die Werte der Kältemittel jedoch viel enger zusammen als bei der volumetrischen Kälteleistung. R404A mit niedriger Überhitzung liegt bei etwa 3,1, R600a mit hoher nutzbarer Überhitzung bei etwa 3,8. Die meisten Kältemittel liegen enger zusammen. Ein Kältemittel mit niedriger volumetrischer Kälteleistung kann also effizienter sein – die beiden Werte hängen nicht direkt zusammen.
Die isentrope Verdichtungsendtemperatur muss bei etwa 105 °C begrenzt werden, um einer realen Temperatur von etwa 140 .. 150°C zu entsprechen. Damit kann R717 nicht einstufig bei diesen Bedingungen eingesetzt werden und R410A nicht mit hoher Überhitzung.



Tiefkühlung
Die volumetrische Kälteleistung variiert hier ähnlich von etwa 0,23 bis etwa 1,4·106 J/m3, der COP etwas mehr, von etwa 1,8 bis 2,4. Hier ist der Unterschied der Überhitzung und damit deren Einfluss etwas größer. Die Verhältnisse entsprechen der Normalkühlung, die Unterschiede verstärken sich etwas.


Interessant hierbei ist, dass Kältemittel wie R600a, R1234ze und R513A bei Tiefkühlung theoretisch hohe Werte für den COP liefern können, dort aber wegen des Betriebs im Unterdruck üblicherweise nicht eingesetzt werden.
Diese Kältemittel haben auch bei hoher Überhitzung keine Schwierigkeiten mit zu hoher Verdichtungsendtemperatur. Wegen des höheren Druckverhältnisses und dadurch höheren Verdichtungsendtemperatur bei Tiefkühlung ist der einstufige Einsatz mehrerer Kältemittel ohne Zusatzkühlung fraglich und für R410A, R32 und natürlich R717 nicht möglich.

Tiefkühlung mit Economiser
In diesen Abbildungen stellt je Kältemittel der linke Balken den Betrieb mit innerem Wärmeübertrager dar, der rechte Balken den Betrieb mit Economiser. Bei allen Kältemitteln ist im Economiserbetrieb folgendes zu beobachten:
- Die volumetrische Kälteleistung steigt deutlich an, um etwa 30%.
- Die Kälteleistungszahl COP steigt deutlich an, um etwa 10 .. 15%.
- Die isentrope Verdichtungsendtemperatur sinkt deutlich.
Die Vorteile für den Energieverbrauch und die Einsatzgrenzen sind so deutlich, dass es nicht einfach erklärbar ist, warum viele Tiefkühlanlagen nicht im Economiserbetrieb laufen. Da die Schaltung komplexer ist, dürften die Kosten deutlich höher sein und evtl. die Ausfallwahrscheinlichkeit etwas höher. Eine Wirtschaftlichkeitsberechnung ist hier sinnvoll. Große Kälteanlagen und Wärmepumpen werden typischerweise mit Economiser oder zweistufig betrieben. Bei kleinen Anlagenleistungen kann außer den Kosten noch ein Mangel an entsprechen optimierten Bauteilen dazu kommen. Hier ist noch Potenzial für die Zukunft.



Jahresarbeitszahl SEPR
Bei der ganzjährigen Betrachtung wird in starker Anlehnung an EN13215 die Effizienz eines theoretischen luftgekühlten Verflüssigungssatzes berechnet. Die Verflüssigungstemperatur sinkt mit der Umgebungstemperatur. Durch die Jahrestemperaturstundenverteilung ergibt sich ein höheres Gewicht auf niedrigere Verflüssigungstemperaturen als bei den Nennpunkten für Verdichter. Da die Kälteleistung sich mit der Verflüssigungstemperatur ändert, wird hier nur der SEPR dargestellt.

Ähnlich dem Vergleich vorher steigt die Effizienz mit dem Economiserbetrieb, jedoch etwas weniger. Die SEPR-Werte von R404A liegen jetzt nicht mehr so deutlich unter den anderen, da der Unterschied bei niedrigeren Verflüssigungstemperaturen kleiner wird. Die Kältemittel mit Temperaturgleit scheinen hier noch etwas mehr abzufallen, was aber auch an den Vereinfachungen der Berechnungsmethode liegen kann.
Diese Art von Vergleich hat das Potenzial, wirklichkeitsnäher zu sein, beinhaltet aber auch etwas mehr Unsicherheit durch die vielen zusätzlichen Annahmen für die Kältemaschine und den Betrieb über das Jahr.
Variation von Bedingungen
Aus den Vergleichen bei verschiedenen Normbedingungen ergibt sich, dass die Unterschiede zwischen den Kältemitteln etwas variieren und dass es einen Einfluss der Überhitzung gibt. Darum werden im Folgenden variiert:
- Verdampfungstemperatur, bei gleichbleibender Verflüssigungstemperatur, Überhitzung und Unterkühlung
- Verflüssigungstemperatur, bei gleichbleibender Verdampfungstemperatur, Überhitzung und Unterkühlung
- Überhitzung, bei gleichbleibender Verdampfungstemperatur, Verflüssigungstemperatur und Unterkühlung


Die Kälteleistung variiert bei allen betrachteten Kältemitteln recht ähnlich mit der Verdampfungstemperatur, wenn die Temperaturänderung in %/K betrachtet wird. Der Fächer der Kurven öffnet sich recht gleichmäßig. Lediglich Propan und Propen haben einen wenig flacheren Verlauf: Bei sinkender Verdampfungstemperatur verlieren sie prozentual etwas weniger an Leistung.
Die Kälteleistungszahl verändert sich bei den betrachteten Kältemitteln fast genau parallel mit der Verdampfungstemperatur. Die Kurven liegen bei diesen gewählten Bedingungen etwa +/-5% um den Mittelwert.
Daraus ergibt sich, dass Druckverluste auf der Niederdruckseite, in der Saugleitung, im inneren Wärmeübertrager oder in Ventilen, oder die mehr oder weniger großzügige Auswahl der Verdampfer, bei allen Kältemitteln sehr ähnliche Auswirkungen haben. Das heißt: Ein Druckverlust von 5% oder entsprechend 2 K Verdampfungstemperatur führt bei allen Kältemitteln zu jeweils gleichen Effizienzeinbußen.

Die Variation der Verflüssigungstemperatur bei gleichbleibender Verdampfungstemperatur, Überhitzung und Unterkühlung ergibt ein anderes Bild: Die Kälteleistung sinkt bei allen betrachteten Kältemitteln mit steigender Verflüssigungstemperatur. Die Auswirkung ist jedoch bei R404A am stärksten, aber auch bei R410A noch deutlich. Das dürfte auch daran liegen, dass sie eine eher niedrige kritische Temperatur haben. Bei Annäherung an die kritische Temperatur fällt die Enthalpiedifferenz bei der Verflüssigung und damit auch die für die Kälteleistung verfügbare Enthalpiedifferenz der Verdampfung. Damit empfehlen sich diese nicht für hohe Verflüssigungstemperaturen, also heiße Länder. Der Effekt ist bei R717 am geringsten, es wäre also für Klimaanlagen in heißen Ländern gut geeignet. Bei den anderen Kältemitteln gibt es weniger Unterschiede.
Die Kälteleistungszahl COP zeigt ein ähnliches Bild: Der COP fällt mit steigender Verflüssigungstemperatur. Am stärksten ist die Auswirkung bei R404A, am niedrigsten bei R717. Die meisten anderen Kältemittel verhalten sich zueinander ähnlich.


Die Variation der vollständig nutzbaren Überhitzung bei einstufiger Verdichtung, gleich bleibender Verdampfungstemperatur, Verflüssigungstemperatur und Unterkühlung am Verflüssigeraustritt zeigt ein unterschiedliches Verhalten verschiedener Kältemittel. Simuliert wird hierbei der Einsatz eines verschieden großen inneren Wärmeübertragers.
- Bei sehr geringer Überhitzung zeigt R717 den höchsten COP, R404A den niedrigsten. R22 liegt recht hoch.
- Bei sehr hoher Überhitzung zeigt R600a den höchsten COP, sogar etwas höher als R717 bei niedrigster Überhitzung. Die niedrigsten COP-Werte zeigen hier R32 und R717, R22 liegt etwa in der Mitte.
- R717 und R32 nehmen mit zunehmender Überhitzung im COP ab. R22 und R410A bleiben praktisch konstant. Alle anderen hier betrachteten Kältemittel nehmen im COP mit der nutzbaren Überhitzung zu, am deutlichsten R404A.
Wird jedes Kältemittel mit der dafür besten Überhitzung eingesetzt, so variieren die theoretischen Werte im Bereich unter +/- 5% um den Mittelwert. Es muss jedoch darauf geachtet werden, dass der Druckverlust im inneren Wärmeübertrager so gering ist, dass die Effizienzvorteile der nutzbaren Überhitzung erhalten bleiben.

Bei entsprechender Variation der Überhitzung im Economiserbetrieb sehen die Kurven etwas anders aus: Bei sehr niedriger Überhitzung ist der Unterschied zwischen den Kältemitteln geringer. Bei sehr großer Überhitzung wird er theoretisch deutlicher. Allerdings sind bei den gewählten Bedingungen Ansaugtemperaturen über etwa -5°C im skizzierten einfachen Prozess nicht erreichbar, sondern nur auf dem Verdichterprüfstand. Im Bereich unter -5°C Ansaugtemperatur zeigt R600a durchgehend die höchste Effizienz. Bei sehr geringer Überhitzung liegt hier R717 nur im Mittelfeld. R32 und R717 fallen mit etwas Überhitzung im COP weiter ab und zeigen bei -5°C Ansaugtemperatur die niedrigsten Werte der betrachteten Kältemittel. R404A liegt gut 5% unter dem Durchschnitt bei sehr geringer Überhitzung und erreicht auch bis -5°C nicht die Werte der meisten anderen Kältemittel.
Insgesamt zeigt der Economiserbetrieb bei Tiefkühlung verbesserte COP-Werte und weniger Unterschiede in der Effizienz zwischen den Kältemitteln.
Zusammenfassung des Vergleichs über Stoffdaten
Die Vergleiche bei verschiedenen Betriebsbedingungen und deren Variation zeigt: Für die Effizienz einer Kälteanlage oder Wärmepumpe ist es wesentlich, dass sie für das gewählte Kältemittel gestaltet und ausgelegt wird.
Viele Kältemittel haben bei einstufiger Verdichtung einen Effizienzvorteil bei Einsatz eines inneren Wärmeübertragers, wie die Kohlenwasserstoffe, R404A oder R134a, manche hätten einen Nachteil, wie R717 oder R32.
Der Einfluss saugseitiger Druckverluste auf Leistung und Effizienz ist bei allen Kältemitteln recht ähnlich, gemessen in % Leistung oder Effizienz pro % Druckverlust. Bewährte Auslegungsregeln können somit übernommen werden.
Alle Kältemittel können bei höherem Temperaturhub im Economiserbetrieb effizienter arbeiten als einstufig, z.B. bei Tiefkühlung oder in Wärmepumpen. Das gilt auch, wenn die Verdichtungsendtemperatur bei dem gewählten Kältemittel nicht dazu zwingt.
Aus den Vergleichen wird sichtbar, warum R717 typisch praktisch ohne Überhitzung eingesetzt wird und häufig mehrstufig bzw. mit Economiser. Ebenso wird sichtbar, weshalb R600a in Haushaltsgeräten mit innerem Wärmeübertrager selbst bei Tiefkühlung eingesetzt wird.
Die praktische Umsetzung der Betrachtung hängt auch von der Verfügbarkeit entsprechend ausgelegter und optimierter Bauteile ab (Vergleich über Komponentendaten).